Quarterly Status Report VI
  01.01.1999 - 30.06.1999

Working Group Agroecosystems

Subgroup Agronomy
 
 

                  Impact of Climate Change on Growth and Yield of Maize and Cowpea under Small Scale Farmer
Conditions in Semiarid Regions

.....

Prof. Dr. Dietrich E. Leihner
Dr. Thomas H. Hilger
Dipl.ing.agr. Joachim Herfort

Institut für Pflanzenproduktion und Agrar-
ökologie in den Tropen und Subtropen
Universität Hohenheim June 1999

Project objectives

In co-operation with the Brazilian counterparts and in an interdisciplinary approach, the working group Agroecosystems aims at assessing the potential of crop production at a regional level in the Brazilian Federal States of Piauí and Ceará. Therefore, simulation models for crop growth, nutrient dynamics and soil water are tested and validated. It is the task of the subgroup Agronomy to describe and determine the growth and yield formation of regionally important crops such as maize and cowpea. Data are collected on representative sites around Picos under traditional crop management. The activities of the subgroup are complemented by field research of the Brazilian counterparts and the two other subgroups of the working group Agroecosystems. In addition, the potential of fertiliser applications and modified cropping patterns for improving crop productivity of small scale farming is tested within the field trials of the subgroup Agronomy.

Throughout the reporting period, no modifications of the research objectives were made.
 
 

Progress and results

With regard to the previous status report, the number of test sites and tested crops was extended. Four additional field trials were included into the research programme:

The first one was started to gather additional data on maize and cowpea growth and yield performance from the Picos area. The site at Saco Grande provides better soil conditions for crop production than the plateau site. The second trial was included as rice cropping may be economically important in the Rio Guaribas valley. The third trial was initiated to study the effect of time on crop yield performance of maize and cowpea under highly variable rainfall conditions.

All other field trials including the in 1998 additionally installed farmer-managed cassava trial on the plateau were carried out as planned.

In the valley, the field trials were shifted to another farm to improve the working conditions for the three subgroups of the working group Agroecosystems.

  1. Work progress
During the 1998/99 growing season, data collection in all field trials of the subgroup Agronomy was carried out as scheduled. The field trials were planted at the beginning of February, except a part of the planting time trial. At the end of June, all field trials were harvested, except the cassava trial on the plateau and the maize/cowpea planting time trial in the valley. The harvest of the maize/cowpea time trial is planned for July, whereas the harvest of cassava is predicted for August.

In general, rainfall amount and distribution of the second rainy season were much better than in the previous season. Nevertheless, the field trials on the plateau, particularly those with maize, suffered from dry spells in February. The dry spells coincided with the crop germination period, making replanting necessary. The extent of the dry spells was less pronounced than in the first cropping season.

The maize/cowpea trial in the valley was also affected by adverse rainfall events. Due to very heavy rainfall at the end of February and at the beginning of March, this field trial was flooded twice by a nearby river, destroying most of the recently emerged crops. In consequence, replanting of this trial was also necessary. Nevertheless, these data together with those of the previous year reflect the climate variability in the project area and are going to be very valuable for the validation of the EPIC/ALMANAC crop-environment simulation model.

In January, the subgroup participated in the WAVES Workshop on "Integrated Modelling" held at the PIK in Potsdam where the dynamic models EPIC/ALMANAC and the interfaces to the Regional Agricultural Sector Model (RASMO) of the Socio-economic Analyses subgroup were explained and discussed.

In co-operation with other members of the Agroecosystems working group, crop coefficients for 14 cropping activities were defined. These coefficients are required as input parameters for simulations with RASMO. Additionally, similar information was supplied for the Model for Sustainable Development of Land Use (MOSDEL) of the Landscape Ecology working group. Data on plant/crop water consumption requested by the Water working group were also compiled. The crop coefficients were intensively discussed in working sessions of the Agricultural Economics workshop held in June 30 to July 1, 1999 in Cologne. The coefficients used as input parameters in RASMO were validated with output parameters of other WAVES models.

  1. Preliminary results
     
    Test runs of EPIC/ALMANAC during the previous reporting period have shown that analysing the development of the leaf area index (LAI) is well-suited for indicating the reliability of simulated and measured values under traditional cropping practices (see also WAVES annual report of the Agronomy subgroup). The failure of EPIC/ALMANAC to simulate the positive response of local varieties to fertiliser applications observed in the previous cropping period was mainly attributed to the limited water availability during this rainy season.

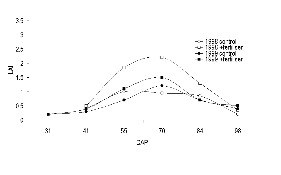
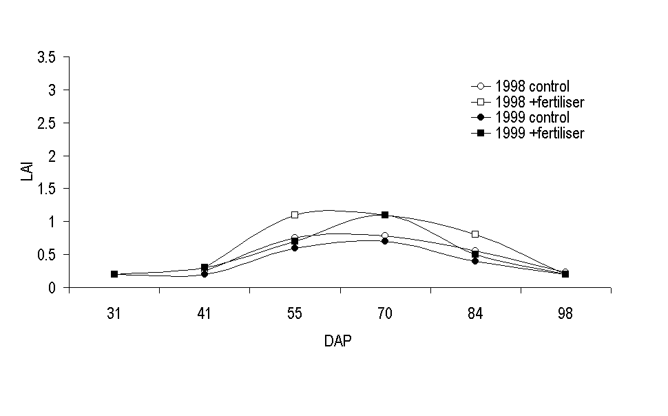
    A preliminary evaluation of the 1998/99 data indicated almost no or only small differences between fertilised and unfertilised treatments although water availability was much less limited in this growth period (see Annex, Figures 1 to 3). It is, therefore, considered that soil fertility plays a much more important role in limiting crop growth on the plateau sites than expected before. This observation also corresponds with the LAI performance of the less-demanding cowpea on the plateau sites. Cowpea, either sole or intercropped, did not show a better LAI development in the second year. Fertiliser applications only produced a small increase of the cowpea LAI, whereas almost no effects were observed for maize. Although the test site had not been used for crop production for a couple of years, soil fertility was already strongly reduced within two cropping seasons. Apparently, the supplied fertiliser dose was not sufficient to raise the yields of maize and cowpea. These findings have to be checked with the data of the subgroup Plant Nutrition where fertiliser was applied at a higher level. These data, however, will be available for the coming reporting period.

    In addition, the dry spells in February may also have had some detrimental effect on the plant growth. But before a final conclusion is possible, all available information including soil and weather data have to be analysed carefully.

    Water availability and soil fertility of the valley sites were much better than those of the plateau sites. This had a strong positive effect on both, crop and weed growth. As weed growth was very strong, manual weed control had to be done almost once a week. But the clayey soil texture complicated a timely weed control as the site had to dry some days after rainfall before weed control could be done without damaging the crops. Thus, maize may have suffered from competition to some extent. Nevertheless, the maize growth was much better in the valley but final conclusions will be possible after final harvest of the valley trail in July.

    Results from Saco Grande showed that growing conditions for maize and cowpea could be much better in the Picos area. Saco Grande, located in the transition zone between the plateau and the valley sites, is an exceptional site and provides much better growing conditions because the apparent soil fertility is much higher in comparison to that of the plateau. At Saco Grande, the LAI of intercropped maize and cowpea was twice as high as in the fertilised plateau treatment, even after continuous crop production for several years (Fig. 4).
     

  1. Partnership and co-operation
In April, the subgroup Agronomy participated in a Brazilian-German WAVES meeting held in Fortaleza. Initially, this meeting was planned as an interdisciplinary and bilateral workshop. Due to the difficult financial situation which Brazil faces today, the official workshop was cancelled when the majority of the German WAVES participants was already starting to travel to Brazil. Despite the limited available resources, Dr. L. Gonzaga Ferreiras Rebouças and his colleagues in Fortaleza made an bilateral scientific meeting possible. The Agronomy subgroup contributed the following presentations to the meeting in Fortaleza: Abstracts of both presentations are available on request.

Apart from presenting own results, this meeting provided excellent opportunities to discuss the preliminary results with colleagues from other disciplines within WAVES. Furthermore, the meeting was used to start discussions on two contrasting scenarios of future developments in the target areas.

In co-operation with DHME (Departamento de Hídrometeorologia; the Brazilian partner of the Water Resources and Management subgroup), a WAVES seminar was held on April 12-13, 1999 in Teresina. This seminar was held for two reasons. First, the WAVES working groups of Piauí which had no funding to participate in the meeting in Fortaleza were now able to present their results to a larger audience. Second, the seminar was used to initiate a Brazilian scenario working group based on the results of a workshop held in Kassel and the scientific meeting in Fortaleza.

The seminar was successful and well-attended by state and municipal authorities including DNOCS (Departamento de Obras contra a Seca), EMBRAPA (Empresa Brasileira de Pesquisa Agropecuária), EMATER (Empresa de Assistência Técnica e Extensão Rural), IBAMA (Instituto Brasileiro de Meio Ambiente e Recursos Naturais e Renováveis), Secretaria da Agricultura and many others. Therefore, further activities are planned in future in co-operation with the DHME and TROPEN/UFPi (Universidade Federal do Piauí) of the Brazilian side and Hydroisotop GmbH, the Landscape Ecology working group and the other members of the Agroecosystems working group of the German side.

By request, all members of the working group Agroecosystems are supported by the Brazilian institutions IBAMA and EMBRAPA, although both institutions still do not directly participate in WAVES. The EMBRAPA station at Teresina tries to get some scholarships from the CNPq for the next year. The LASO (Laboratório de Análise de Solo) at the UFPi still offers the use of its laboratory, although not yet participating in WAVES. At the beginning of 1999, two drying ovens for soil and plant samples have been bought. This was necessary because the number of analyses increased considerably and the capacity of the LASO laboratory was too small to dry all samples collected by the Agroecosystems working group.

In June, contacts were made to Dr. Graeme Hammer and Dr. Holger Meinke from APSRU (Agricultural Production Systems Research Unit) at Toowoomba, Queensland, Australia. Both scientist are involved in an Australian researcher group working in a similar research area. During their stay at Hohenheim University, objectives and the preliminary results were discussed and comparisons to projects with similar approaches in Australia and neighbouring countries were made. In future, further contacts and discussions were agreed upon.

  1. Exploitation
The subgroup submitted two abstracts to conferences: Furthermore, the subgroup created a web page for specific information on its research activities in NE Brazil. The information is available on:

http://www.uni-hohenheim.de/i3v/00217110/01417041.htm




Project management structure

The project management is located at Hohenheim. During the rainy season and part of the dry season, one staff member is outposted in Brazil to co-ordinate the field research in Picos. As the communication with the Brazilian counterparts and the logistic infrastructure is much better in Teresina, his office is located there. During the rainy season, this staff member shuttles weekly between Teresina and Picos for data collection and co-ordination of the field activities.

No modifications of the management structure were necessary throughout the reporting period.
 
 

Outlook

Activities planned for the coming six months:

Administrative aspects
  1. Financial situation

  2. ...
    Budget of the project was mainly spent as scheduled. Due to an extended data collection, it was necessary to purchase two drying ovens to increase the drying capacity at the LASO laboratory in Teresina. This was possible by skipping some activities which were found being less important.

    Budgeted funding is deficient with regard to the salary of the scientific co-worker, stationed in Teresina, as we faced a substantial wage increase in 1999. Furthermore, the family situation of this scientific co-worker changed producing an additional increase of his salary. The deficit amounts to DM 4,000.00 by the end of the year and additionally to DM 2,500.00 in 2000.

    The Agroecosystems working group's budget calculated for transportation in Brazil reached a critical level as almost all available funds for the car had to be spent during the 1998/99 cropping period. Further field activities can only be realised if additional funds are available.

    Therefore, the subgroup Agronomy has to apply for additional funding which is going to be done by a separate proposal.

    .........

  3. Staff situation
There were no changes throughout the reporting period.
 
 

Annex
 
 


........
Figure 1. Cumulative LAI of solecropped maize in two subsequent years. Data were recorded at Mirolandia, Picos PI, Brazil.
 
 


........
Figure 2. Cumulative LAI of solecropped cowpea in two subsequent years. Data were recorded at Mirolandia, Picos PI, Brazil.

.l....


.......
Figure 3. Cumulative LAI of intercropped maize and cowpea in two subsequent years. Data were recorded at Mirolandia, Picos PI, Brazil.
 
 


.......
Figure 4. Cumulative LAI of intercropped maize and cowpea as affected by environment and treatment. Data were recorded druing 1999 at two sites in the municipality of Picos PI, Brazil.
 

back